数学
高校生
解決済み
この4問どなたか解いていただけませんか💦
(※答え写したいとかそういう系じゃないです。ノートに載せる自作問題で、合ってるか不安なので、ということです。
一応自分で解いて答えも出しました。)
よろしくお願いしますm(_ _)m
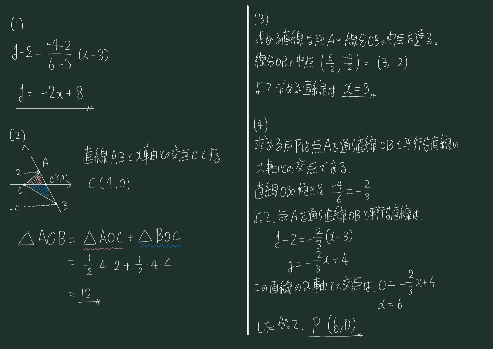
く問題1〉
~太関教編~
A(3,27
ラス
B16,-4)
上の日のようk
の直線が原点0.
煮
A13,2), B(6.
47交わっ
Tいる。
のとき
kの関いに然えよ
直線ABのをおめよ
(2)△ ADB の面積を求めよ
(3)点 Aを通り
直線の式を求めよ
ス柚上のス>0の部分に応Pを. =APOB
なるよういとるとき
AAQBの面線を2等分する
△ AOB
京Pの座標を求わよ
回答
回答
okです〜暇なので笑笑
ありがと~笑笑
※4枚目、、、(3)になってます…ごめんなさい🙏
あ、でも垂直ダメだっけ?…oh…
解いてくれてありがとう&返信遅れちゃってごめんね!
おおう、問題まで作ってくれたんだ…( o̴̶̷᷄ ·̫ o̴̶̷̥᷅ )(感激の涙)
ぜんっぜん関係ないけど字が好きやわ笑
字が好き笑笑
僕なりにできる最大限の美を求めた結果ですね!笑笑
先輩達(笑笑)お疲れ様でした〜そしてありがとうございました😊
申し訳ないんだけど、問題もう1つ作るからそれ書き終わったらまた問題解いてって依頼することになると思う(。_。*)
あ、僕ですか?いいですよ😆😙
ここにあげるか、質問にあげていただければ…
使い方ミスった笑笑
宿題で忙しいからbitter君に任せるよ
ふぁいとーっ
★≠:*:≠゜☆。≠(ノ▼ヘ▼)ノ
スクリューワープ♪
okです
大丈夫よ!(◍ ´꒳` ◍)👍
疑問は解決しましたか?
この質問を見ている人は
こちらの質問も見ています😉











別解まで…!ありがとうございます😭
参考にしても(引用)よろしいでしょうか?このQ&AのURLはちゃんとノートに貼りますので🙏