Mathematics
มัธยมปลาย
เคลียร์แล้ว
回答がなくて教えてほしいです🙇♀️
10 [2025 福井大]
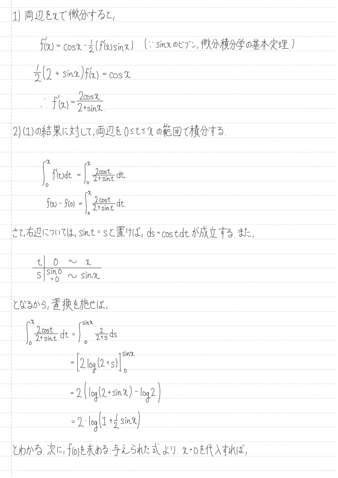
関数 y=f(x) が任意の実数x に対して次の等式を満たすとき, 次の問いに答えよ。 ただ
し, f(x) の導関数 f'(x) は連続関数とする。
1 x
f(x) =sinx-
So f'(t) sin tat
(1) 与えられた等式の両辺を微分して, f'(x) を求めよ。
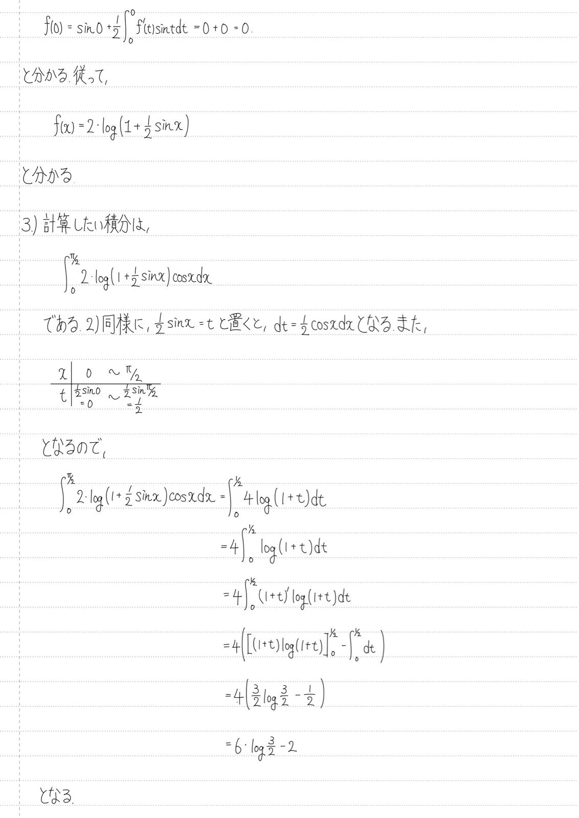
(2) f(x) を求めよ。
(3) S f(x) cosxdx の値を求めよ。
คำตอบ
คำตอบ
ข้อสงสัยของคุณเคลียร์แล้วหรือยัง?
เมื่อดูคำถามนี้แล้ว
ก็จะเจอคำถามเหล่านี้ด้วย😉
สมุดโน้ตแนะนำ
詳説【数学Ⅰ】第二章 2次関数(後半)~最大・最小・不等式~
6127
25
詳説【数学Ⅰ】第二章 2次関数(前半)~関数とグラフ~
5156
18
詳説【数学Ⅱ】第3章 三角関数(前半)~一般角の三角関数~
4908
18
詳説【数学Ⅰ】第三章 図形と計量(前半)~鋭角鈍角の三角比~
4578
11


計算合わなくて困ってたので助かりました🙇♀️