Mathematics
มหาวิทยาลัย
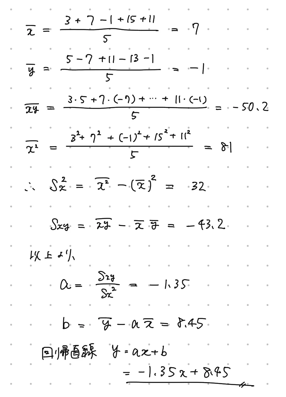
回帰直線を求める問題について質問です。
データ (x,y)=(3,5),(7,-7),(-1,11),(15,-13),(11,-1) のxが原因、yが結果であるとき、回帰直線を求め下記から選びなさい。
y=-1.35x+8.45
y=-1.35xー8
x=-0.6y+6.4
x=-0.6y+8
答えは①なのですが、解説がなくどう求めたらいいかわからないため教えていただきたいです。
คำตอบ
ข้อสงสัยของคุณเคลียร์แล้วหรือยัง?
เมื่อดูคำถามนี้แล้ว
ก็จะเจอคำถามเหล่านี้ด้วย😉
