数学
高校生
解決済み
至急です🙇♂️数Bの色々な数列です。最後の式変形がわからないです。
15
10
応用 次の和Sを求めよ。
例題
4
解答
S=1・1+2・2+3+......+n・2n-1
考え方 83ページで等比数列の和の公式を導いた方法を用いる。ここ
では, Sと2Sの差を計算する。
S=1・1+2・2+ 3・22 + 4.2°+.…‥+n・2n-1
2S= 1・2+2・22+3・2°+…………‥+(n-1)・2"-1+n・2"
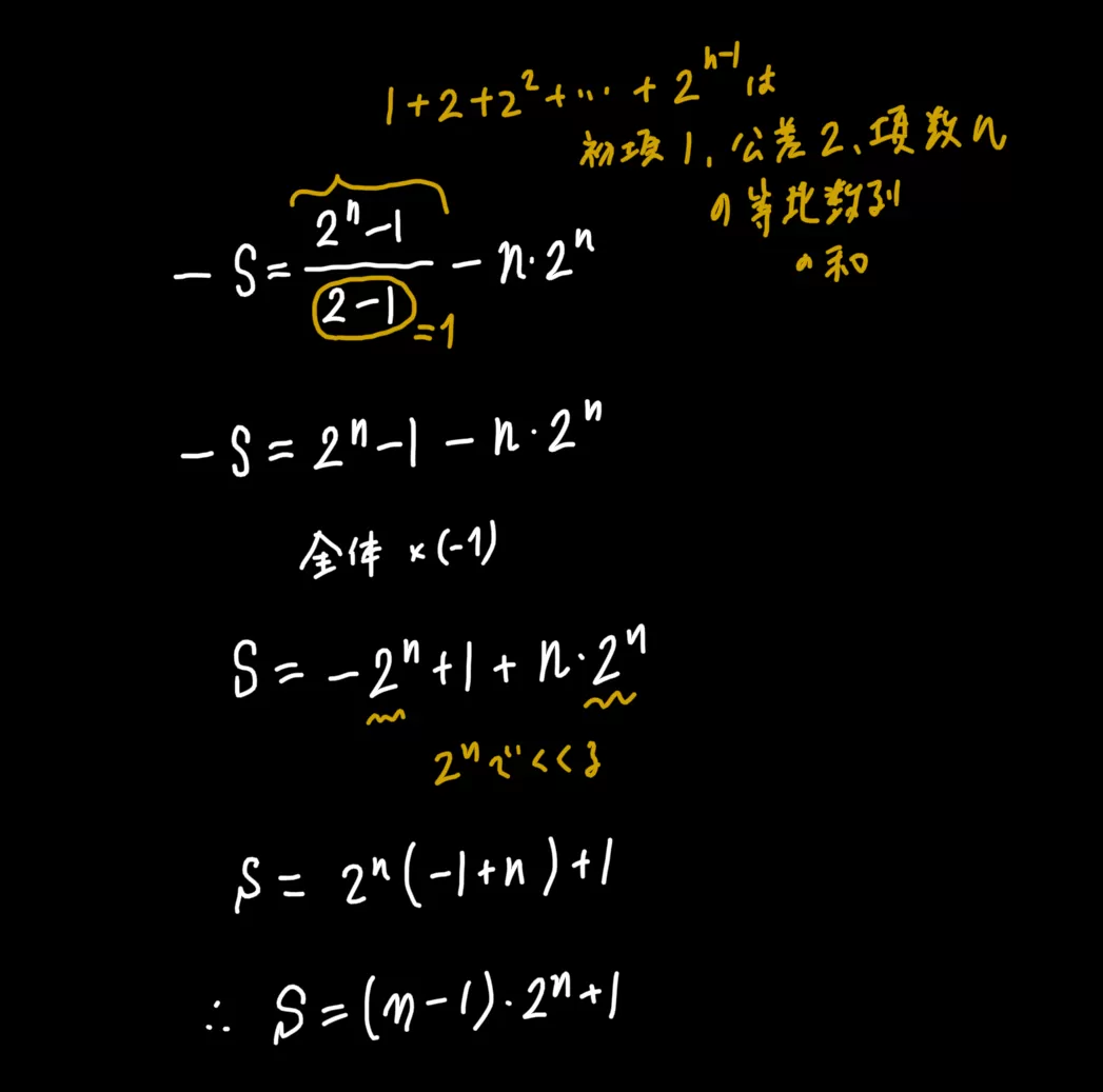
の辺々を引くと S-2S=1+2+2+2+ ...... +2”-1-n・2"
よって
したがって
-S=2"-1
2-1
-n.2n
S=n・2"-(2-1)=(n-1)・2"+1
回答
疑問は解決しましたか?
この質問を見ている人は
こちらの質問も見ています😉
おすすめノート
詳説【数学Ⅰ】第一章 数と式~整式・実数・不等式~
8977
117
数学ⅠA公式集
5722
20
詳説【数学Ⅰ】第三章 図形と計量(前半)~鋭角鈍角の三角比~
4578
11
詳説【数学A】第3章 平面図形
3624
16

分かりやすかったです!ありがとうございますm(_ _)m