Physics
มัธยมปลาย
เคลียร์แล้ว
3行目から4行目に行く時、どのような計算をしているのですか?教えてください🙇🏻♀️
ちなみにt0=√2h/gです!
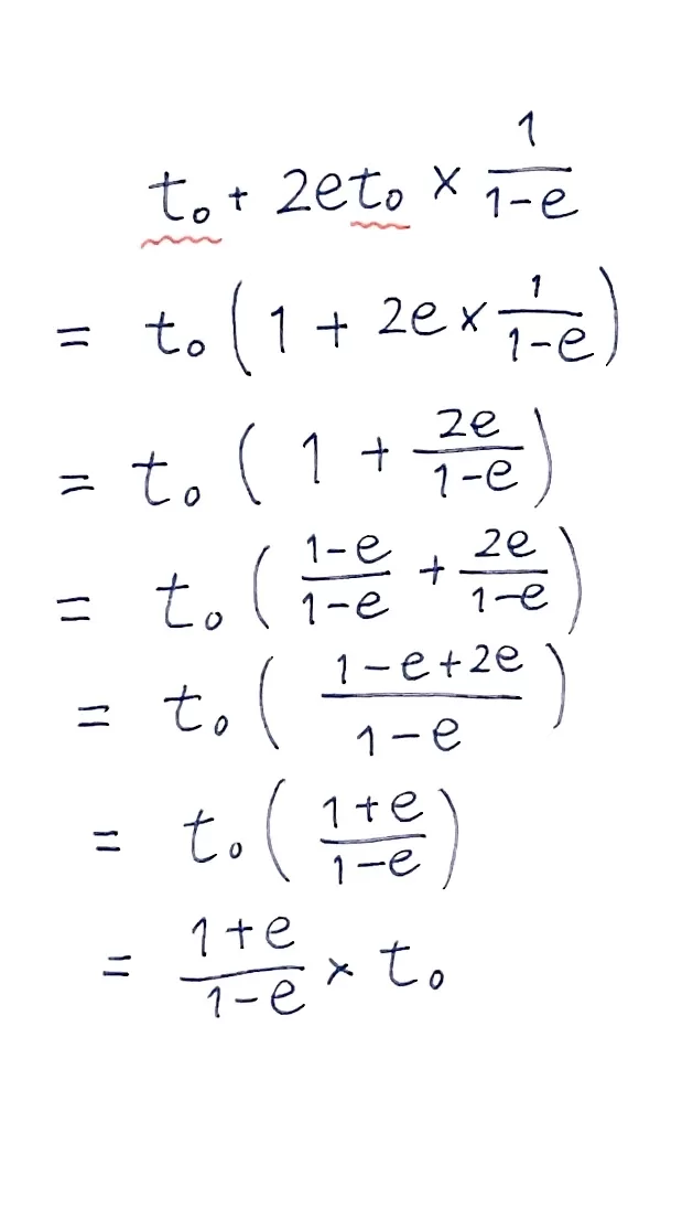
t∞ = to + eto × 2 + e²to × 2 + e³to × 2 + ...
= to + 2 eto x (1 + e + e²+)RNOSTER CA
×
+……)
1
1- e
= to + 2 eto X
1+e
1-e
=
1+e
1-e
①より
x to
×
2h
g
答
で 〈無限等比級数の和の公式>
より 初項a,公比r(-1<r<1)
の等比数列の和は
を使った
zan
n=1
=
a₁
1-r
คำตอบ
ข้อสงสัยของคุณเคลียร์แล้วหรือยัง?
เมื่อดูคำถามนี้แล้ว
ก็จะเจอคำถามเหล่านี้ด้วย😉

遅くなりすみません!ありがとうございます🙇🏻♀️