化学
高校生
解決済み
この問題の⑶の解き方を教えていただけませんか?
税5 決に示す Rh 5
区6 示す半反応式が与えられているとき。 下の(+)一(3)の則いに答えよ。
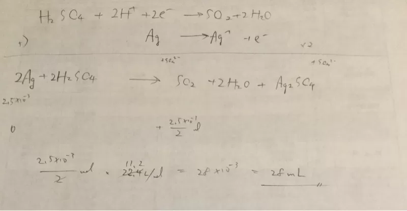
熱濃硫酸 BLS0。+ 2HY + 2sc つ SO。+ 2BLO
ーー 人間人
249 やっ49ートを
す は る
(けは) ①式において, 替濃和酸 BSO。は只化剤と元剤どちらであるが竹よ
(2) 〇式と②式を用いて。替濃硫酸 SO。と銀 As の琶化避イオン反応式を※めよ。
で③ア銀単体 2.5X10? mol を全て替濃確酸と反応させた。このとき発生ぶる三友Ac司
SO。 の標準状態における気体体積 [mL〕 を, 有効到守2桁で求めぶ。
回答
疑問は解決しましたか?
この質問を見ている人は
こちらの質問も見ています😉

ありがとうございます