Mathematics
高中
已解決
1〜3まで解説お願いします🙇♀️
答え
1(ア)-3
(イ)-5
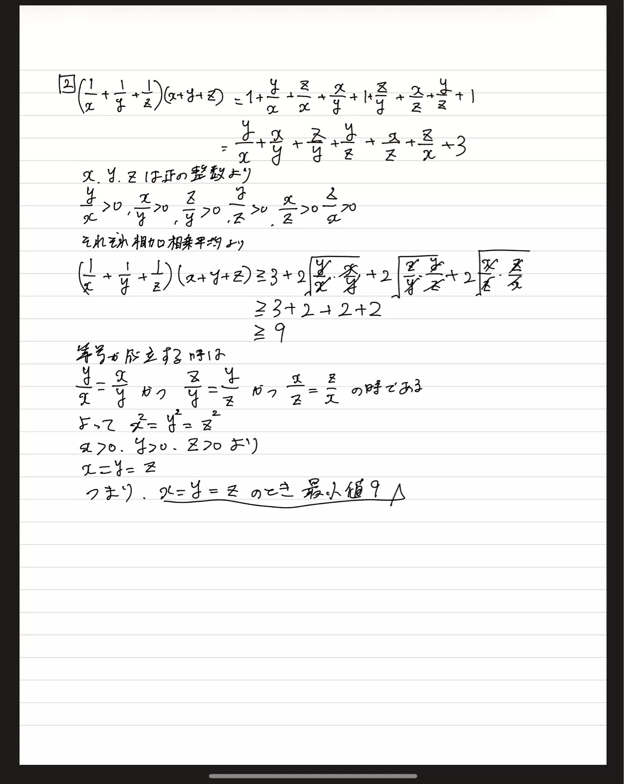
2 x=y=z 9
1 [2025 南山大]
2次方程式 x2-3x+6=0の2つの解をα, β とする。 このとき,2+B2の値は
であり,(+1)^2(x+1)2
+
の値は
である。
a
B
2 2025 鹿児島大]
x, y, z を正の実数とする。
(12/2+1+1/2)(x+y+z)
のとりうる値の最小値を求めよ。 また, 最小値をとるときのx, y, zの条件を求めよ。
18
xy
ある
(1)
(2)
ta
3 [2025 秋田大]
a0b>0のとき、+2を証明せよ。また,等号が成り立つ条件を求めよ。
a
[1
9
解答
您的問題解決了嗎?
看了這個問題的人
也有瀏覽這些問題喔😉
推薦筆記
詳説【数学Ⅰ】第一章 数と式~整式・実数・不等式~
8977
117
詳説【数学Ⅰ】第二章 2次関数(後半)~最大・最小・不等式~
6127
25
数学ⅠA公式集
5722
20
詳説【数学Ⅰ】第二章 2次関数(前半)~関数とグラフ~
5156
18



丁寧かつわかりやすい解説ありがとうございます!助かりました