Mathematics
高中
已解決
解説がない為、数Ⅰα 2次方程式 のこちら問題の解説をお願い致します。
解答番号に丸をつけています。
途中まででも大丈夫なのでお願い致します。
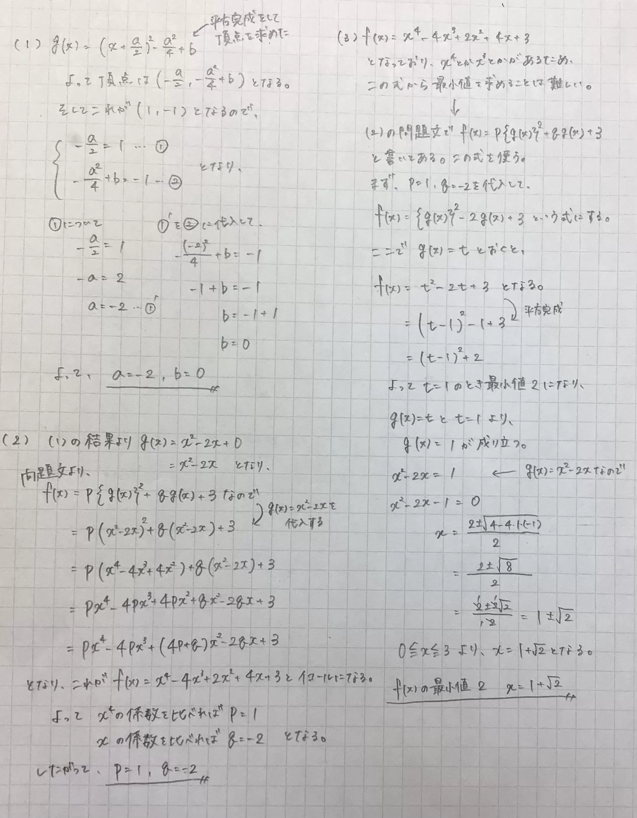
(Ⅱ)2つの関数f(x)=x^4x+2x+4x+3とg(x)=x+ax+bがある。
y=g(x)のグラフは,頂点が(1,-1)の放物線である。
7
100
9
10
11
12
(1)a=7,b= 8 である。
(2) f(x) をg(x) を用いて表すと, f(x)=p{g(x)}^2+gg (ェ) +3となる。
このとき, p= 9 g = 10 である。
(3) 0のとき, f(x) の最小値は11である。このとき, x= 12
である。
ア. -4
ア. -1
1
ア. -5
ア. 0
ア 1+√2
イ. -3
イ. 2
イ. -4
イ.1
イ 1+√3
ウ.1
ウ.3
2
ウ-3
2
〔解答番号 7~12〕
2+√2
エ. -1
I. 2
I. 4
G-2
I. 3
I. 2+√3
解答
您的問題解決了嗎?
看了這個問題的人
也有瀏覽這些問題喔😉
推薦筆記
詳説【数学Ⅰ】第一章 数と式~整式・実数・不等式~
8977
117
数学ⅠA公式集
5722
20
詳説【数学Ⅰ】第三章 図形と計量(前半)~鋭角鈍角の三角比~
4578
11
詳説【数学A】第3章 平面図形
3624
16

とても丁寧な解説をありがとうございます!
理解することが出来ました。