Mathematics
มัธยมปลาย
เคลียร์แล้ว
高3数Bの質問です。
公式チェックみたいなプリントが学校で配布されたのですが、写真の問題が分かりません。
解き方を教えていただきたいです。
よろしくお願いします。
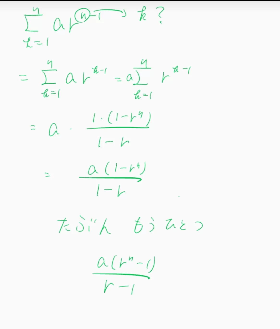
n
(5) Σarn-1
k=1
=
※r≠1のときで, 2つ書く.
คำตอบ
ข้อสงสัยของคุณเคลียร์แล้วหรือยัง?
เมื่อดูคำถามนี้แล้ว
ก็จะเจอคำถามเหล่านี้ด้วย😉
สมุดโน้ตแนะนำ
詳説【数学Ⅰ】第一章 数と式~整式・実数・不等式~
8977
117
数学ⅠA公式集
5722
20
詳説【数学Ⅰ】第三章 図形と計量(前半)~鋭角鈍角の三角比~
4578
11
詳説【数学A】第3章 平面図形
3624
16

教えてくださりありがとうございます!
余裕があれば休み明けに聞いてみようかなと思います🙇♀️
ありがとうございました!!