คณิตศาสตร์
มัธยมปลาย

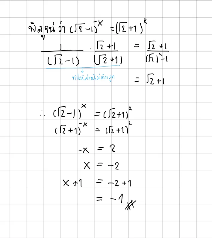
ขอสอบถามวิธีทำข้อนี้หน่อยค่ะ

8“ ส 2 8 แล๊ด 2 + 1 มีค่าเท่าใด
เลขยกกำลัง
PromotionBanner

คำตอบ

ข้อสงสัยของคุณเคลียร์แล้วหรือยัง?

เมื่อดูคำถามนี้แล้ว
ก็จะเจอคำถามเหล่านี้ด้วย😉