数学
高校生
解決済み
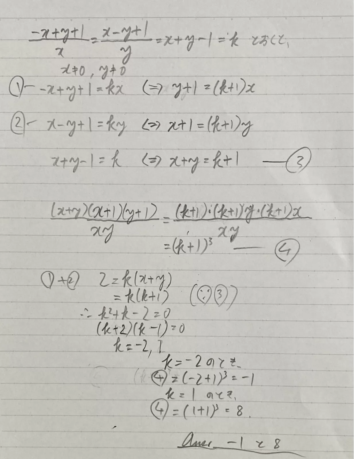
この問題の解き方教えてください😿途中まではこんな感じにやりました。答えは−1と8です
された
(3)x+y+1_-y+1
(x+y)(x+1)(y+1)
=æ+y-1のとき、
この値は,一
5
T
xy
と 6 で
ある。 ただし, yは0でない実数とする。
詳しくないもの
✓
-x+y+1
7-4+1
ニオナケート
9
-x+72+9=オーオナ
水に2-924-7=0
-A + 4 + 1 = x²+x4-x
2
x²+x9-4-1=0..
-1/+
x2+xy=y+1
+1=x+72-9
4² + 1 9-1-1 = 0.. ③
72+オリ=x+1
オナオナラ+1
(4)(x+1)(9+1)
319
++++++
77
9+1+2+1+1+1+x2+x72
2x+27+水29+×2+2
*}
2(x+y+2
29
+(水)
回答
疑問は解決しましたか?
この質問を見ている人は
こちらの質問も見ています😉
おすすめノート
再編Recipe①三角関数
78
0

貴方の答案の①は、左辺が因数分解されます。