数学
中学生
解決済み
連立方程式の文章題です。
ベストアンサー付けます。
お願いします🙇♀️
8 連立方程式の文章題 のぞみ文具店では、 右の図の広告のように,
割引セールをしている。
のぞみ文具店
開店記念割引セール
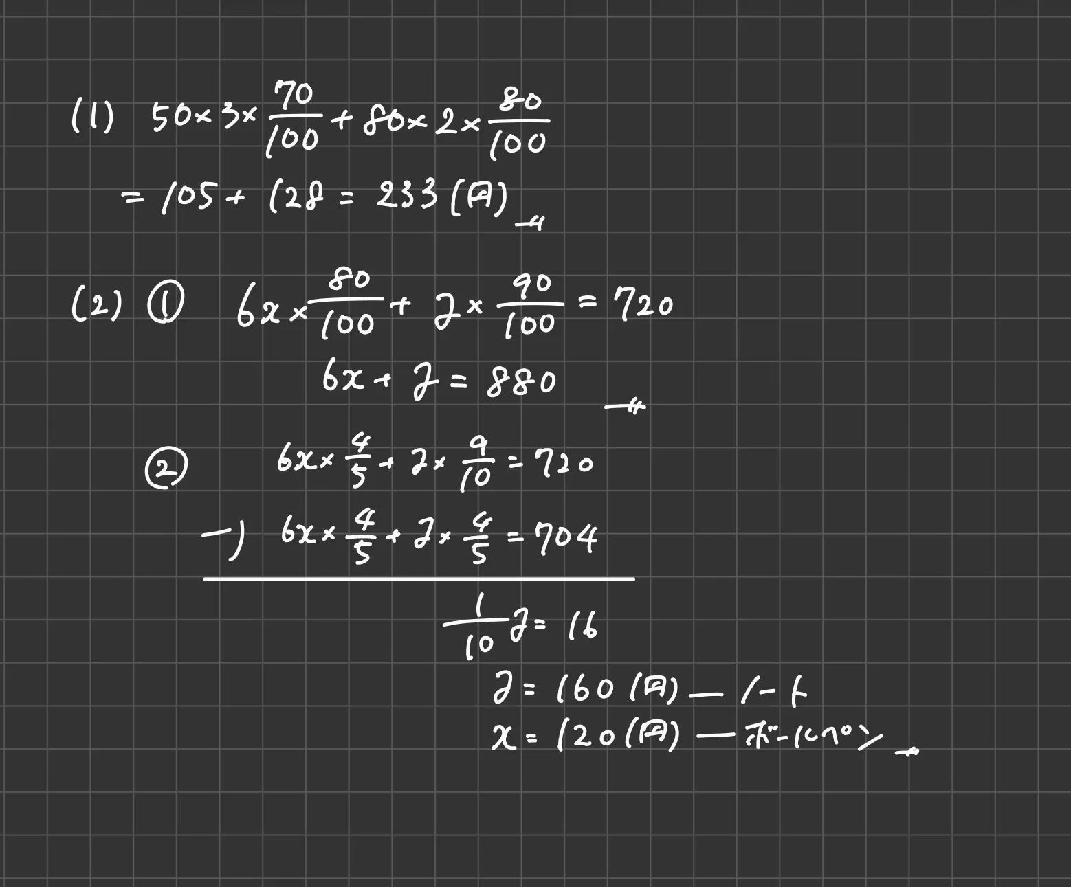
□(1) 定価50円の消しゴム3個と,定価80円の鉛筆2本を買ったときの,
割引後の代金の合計を求めなさい。
鉛筆
ボールペン
ペンケース
消しゴム
三角定規
分度器
〕
→定価の
→定価の
(2) ひろきさんは,ボールペン6本とノート1冊を買った。 定価どお
りだと代金の合計は880円であるが, 割引後の代金の合計は720円に
なった。 ただし, ボールペンの定価はすべて等しいものとする。
□ ① ボールペン1本の定価をæ円, ノート1冊の定価を円として,
x,yについての連立方程式をつくりなさい。
20%引き
30%引き
その他全品
→定価の10%引き
□② ボールペン1本とノート1冊の定価をそれぞれ求めなさい。
ボールペン 〔
〕ノート〔
回答
疑問は解決しましたか?
この質問を見ている人は
こちらの質問も見ています😉
おすすめノート
【数学】覚えておいて損はない!?差がつく裏ワザ
11388
87
【夏勉】数学中3受験生用
7340
105
【夏まとめ】数学 要点まとめ!(中1-中3途中まで)
6366
81
数学 1年生重要事項の総まとめ
4336
82

ありがとうございます🙇♀️