Mathematics
高中
已解決
至急ですm(__)m(2)の線を引っ張ったところが問題が分かりません。
212 階差数列を利用して,次の数列{an}の一般項を求めよ。
(1) 1, 5, 13, 25, 41,
4 r 112 16.
この数列の階差数列は
4.8. 12/16
その一般項をnとすると
bn = 14 + (n-1) 4
FZ 1 3 2 0 4 2
An= a₁ + 24k
= 1 + 4² = (n) ^
= K²2R²=₂+1
An= 24²-24+1
2-24111
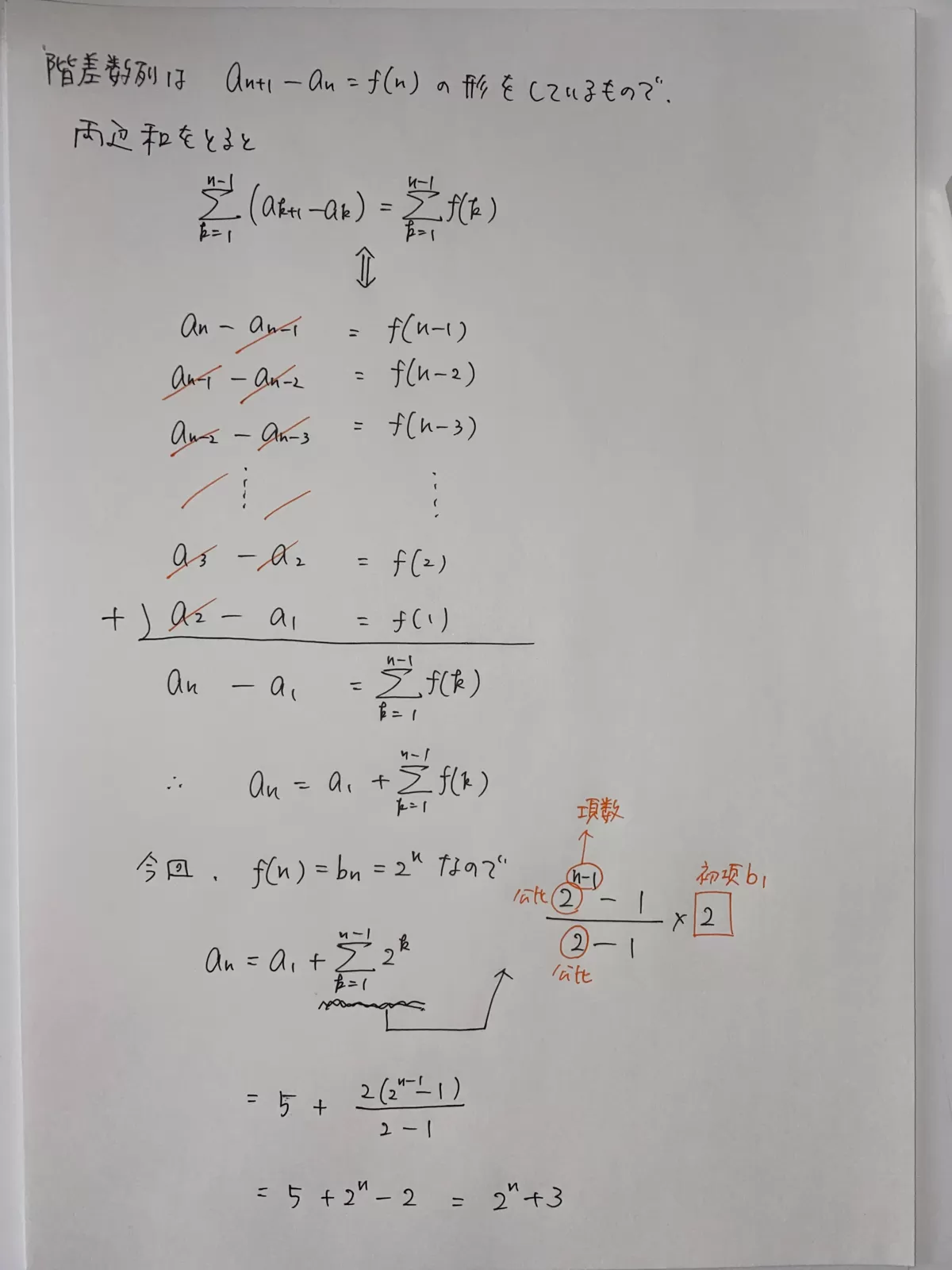
(2)* 5, 7, 11, 19, 35,
24
AYE
この階差数列は
6351
214. do 16..
その一般項をnとすると
"bn=2" T² & 3²₁"
d)
よってここのとき
An = a₁ + 1/27/1²/²1/3
0 1 ² = 5 + 2 (2 + 1 - 1) /
3211
213 #
(1) S
an2+3
初頃は9.5である中でよう
co=1/12 = 199 € (22
成り立つ。
40 2 1 = + 1/4 =1²7 13/an=2²+3
(2) この数列の階差数列は
2, 4, 8, 16,
その一般項をbとすると, b=2" である。
よって, n ≧2のと
n-1
an= a₁ +2²=5+-
すなわち
k=1
an=2"+3
SXI+ww
(1+1
2(2-1_1)
2-1
解答
您的問題解決了嗎?
看了這個問題的人
也有瀏覽這些問題喔😉

等比数列の和の公式を使えばいいのでしょうか?