Mathematics
มัธยมปลาย
เคลียร์แล้ว
481のカッコ1のやり方を教えてほしいです
わかりやすくお願いします
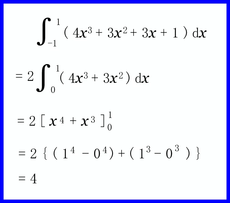
481 次の定積分を求めよ。
STEPB
*(1) S', (4x³+3x²+3x+1)dx
(2)S(ピーメーx+
S₂ (x³-x²-x+4) dx
(3)
S²₂
(x²-5x³+x²+9x)dx
11017
คำตอบ
คำตอบ
ข้อสงสัยของคุณเคลียร์แล้วหรือยัง?
เมื่อดูคำถามนี้แล้ว
ก็จะเจอคำถามเหล่านี้ด้วย😉


偶関数と奇関数の積分
https://www.try-it.jp/chapters-7547/sections-7617/lessons-7632/