Mathematics
มัธยมปลาย
เคลียร์แล้ว
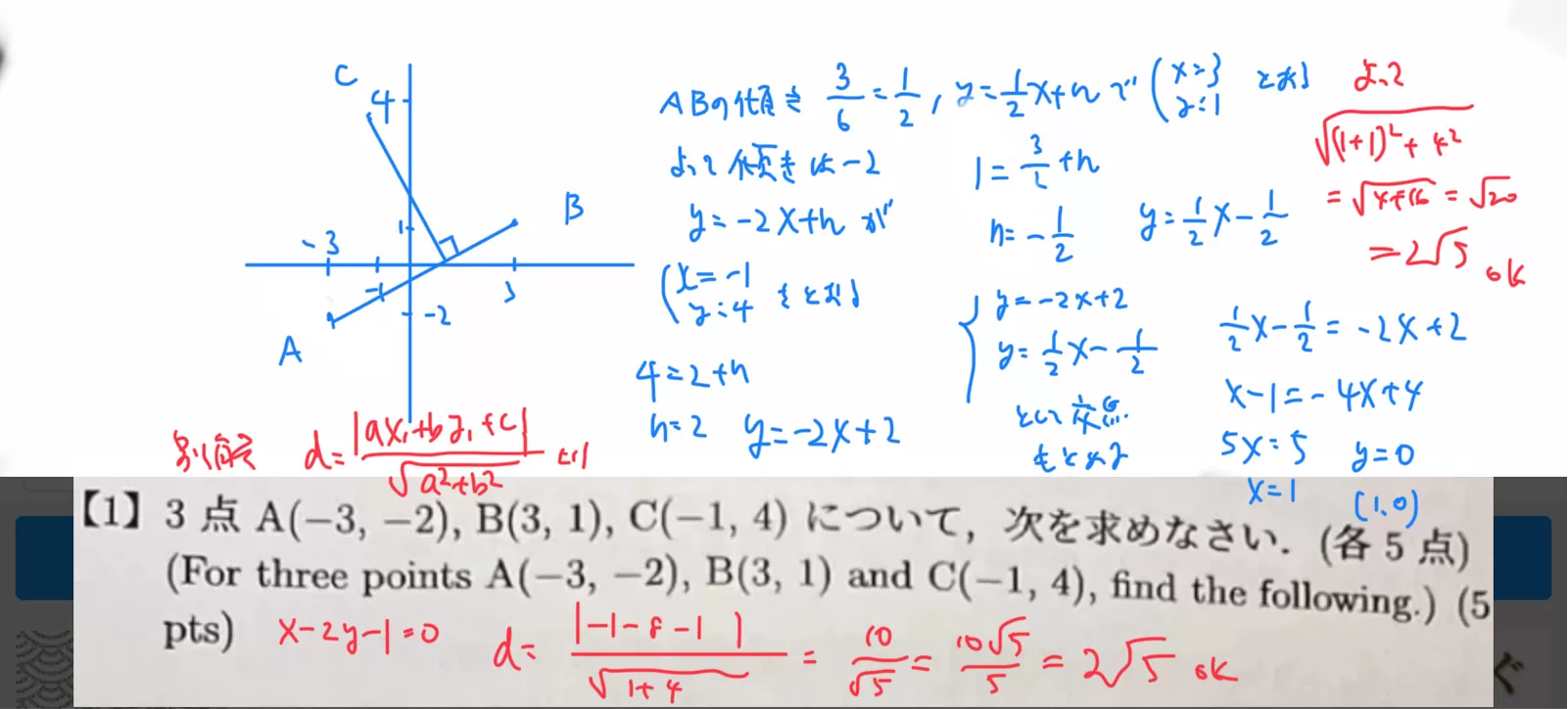
点Cから直線ABにおろした垂線の長さを求める問題です
答えは2√5であっていますか?
【1】 3点A(-3, -2), B(3, 1), C(-1, 4) について,次を求めなさい。 (各5点)
(For three points A(-3, -2), B(3, 1) and C(-1, 4), find the following.) (5
pts)
คำตอบ
ข้อสงสัยของคุณเคลียร์แล้วหรือยัง?
เมื่อดูคำถามนี้แล้ว
ก็จะเจอคำถามเหล่านี้ด้วย😉

ありがとうございます😭