数学
高校生
解決済み
この問題の解き方が分からないです!!
教えてくださいm(_ _)m
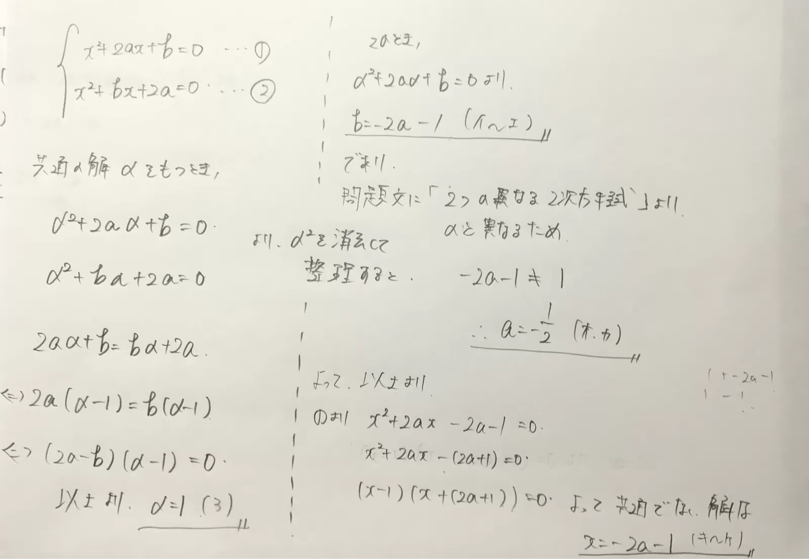
xについての2つの異なる2次方程式
x?+2 ax + b= 0
x?+ bx + 2a = 0
が唯一の共通解aをもつとき,
α =|ア|である。
オ
である。
カ
また,そのとき,b=|イ ウ|a
エであり,a+
さらに,①の共通解ではない方の解は,
キク
|ケであり,2の共通解でな
a
い方の解は、
a である。
コ
回答
疑問は解決しましたか?
この質問を見ている人は
こちらの質問も見ています😉


とても丁寧な回答ありがとうございます!
助かりました!!