調べたらclearにも知恵袋にも同じ質問がいっぱいあったので貼っときます。
https://detail.chiebukuro.yahoo.co.jp/qa/question_detail/q1277202697
これでわかんないとことかあったら私でよければお答えしますので返信してください( *˙ω˙*)و グッ!
5fe3+と5so4 2マイナス??が反応するところがいまいち。。。
このノリだと、2H+があるときに、2H2SO4になるのでは??と思います
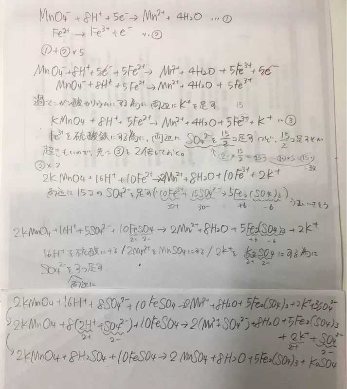
サイト貼っといてなんですが、1から説明しました…笑 過マンガン酸カリウムはKMnO₄、硫酸鉄はFe₂(SO₄)₃のことです。
コツは「プラスとマイナスの数をひたすら気にし続けること」ですかね…。
わざわざ。。ありがとうございます😭🙌🙌

ありがとうございます