✨ 最佳解答 ✨
酸化還元反応のイオン反応式や化学反応式を書くときに使う。
中和反応は比較的見た目でかけるものが多いけど、酸化還元反応は半反応式から書いた方が書きやすいですよ。
もし、酸化剤、還元剤の半反応を5式ずつ覚えたら5×5=25式書けると思えばムダなこととは思わないと思うのですが。
これで答えになってるかな?
なるほどです!酸化剤、還元剤の半反応5式ずつってのはおぼえなくてもつくれますよね?
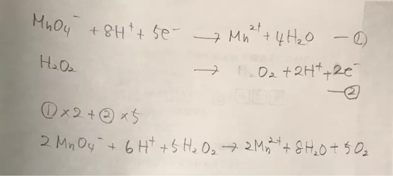
半反応は上の写真のMnO4-がMn2+になることやH2O2がO2になることを覚えておくのがポイントです。そのあとはどの式もおんなじだからです。それと25式の話は例えばということです。
テストが近いなら今からコツコツ半反応を覚えてください。式書けないとモル計算、濃度計算することが出来なくなるのでね。
ありがとうございます!テストはもう終わりましたが笑
入試までに覚えますよ😋

回答ありがとうございます!25式ってなんのことですか?!