คณิตศาสตร์
มัธยมปลาย
ข้อนี้ทำยังไงหรอคะ
ฆ ๕ ๐ =- จ ๕ 0 9/ 1 1-๕-60
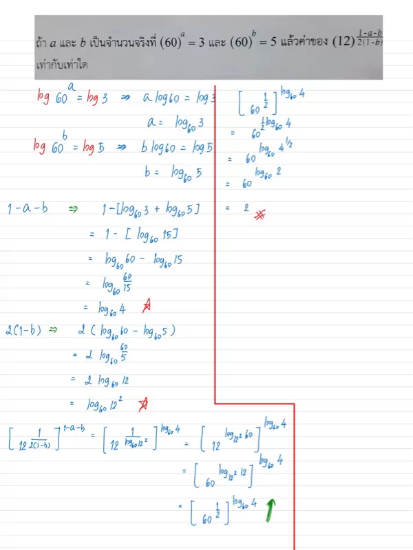
ถ้า ๕ และ 9 เป็นจํานวนจริงที (60) = 3 และ (60) = 5 แล้วค่าของ (12)20-@
เท่ากับเท่าใด
ซ 0 . :
คำตอบ
ข้อสงสัยของคุณเคลียร์แล้วหรือยัง?
เมื่อดูคำถามนี้แล้ว
ก็จะเจอคำถามเหล่านี้ด้วย😉
สมุดโน้ตแนะนำ
[PAT1] สรุปสูตรคณิตม.ปลาย
14392
24
สรุปเลข ม.ปลาย
7679
3
สรุปสูตรคณิตศาสตร์ ม.ปลาย
5158
3
สรุปคณิตม.ปลาย 4-6
5004
9

