Mathematics
มหาวิทยาลัย
なぜ自分の回答が成り立たないのかがわかりません。
この問題で『逆』に引き算を利用して回答する理由を教えていただけると幸いです。
06 演習題(解答は p.21)
1から19までの整数の集合をSとする. Sの部分集合Aで,次の2つの条件をみたす
ものを考える.
(i) Aは5個の要素からなる。」
(ii) A のどの2つの要素の差も1より大きい.
このようなAは全部で [ 1個ある.
(早大教)
TO
A
いと
Aihe cide
sa chylclticdikce + 4 ≤ 19 + 4
(
=23
23 (4=
133
243
6
3,99
3/2
17
2
23.22.2.2819
51.4.7 x 1
で
6
243 × 13 3
= 32319(空)
F
夏はG
2+16×5=144個.
列
*** * 01111110
*****011111
A 11 111*
B 01111
C
D
E
*0111111****
* *0111111***
*** 0111111**
F
**** 01111 1 *
G ***** 0111111
では1組の男) を固定する.
めたときに女4人の座り方が
止めれ
などと表す. ①の席を固定
6×2=12 通り
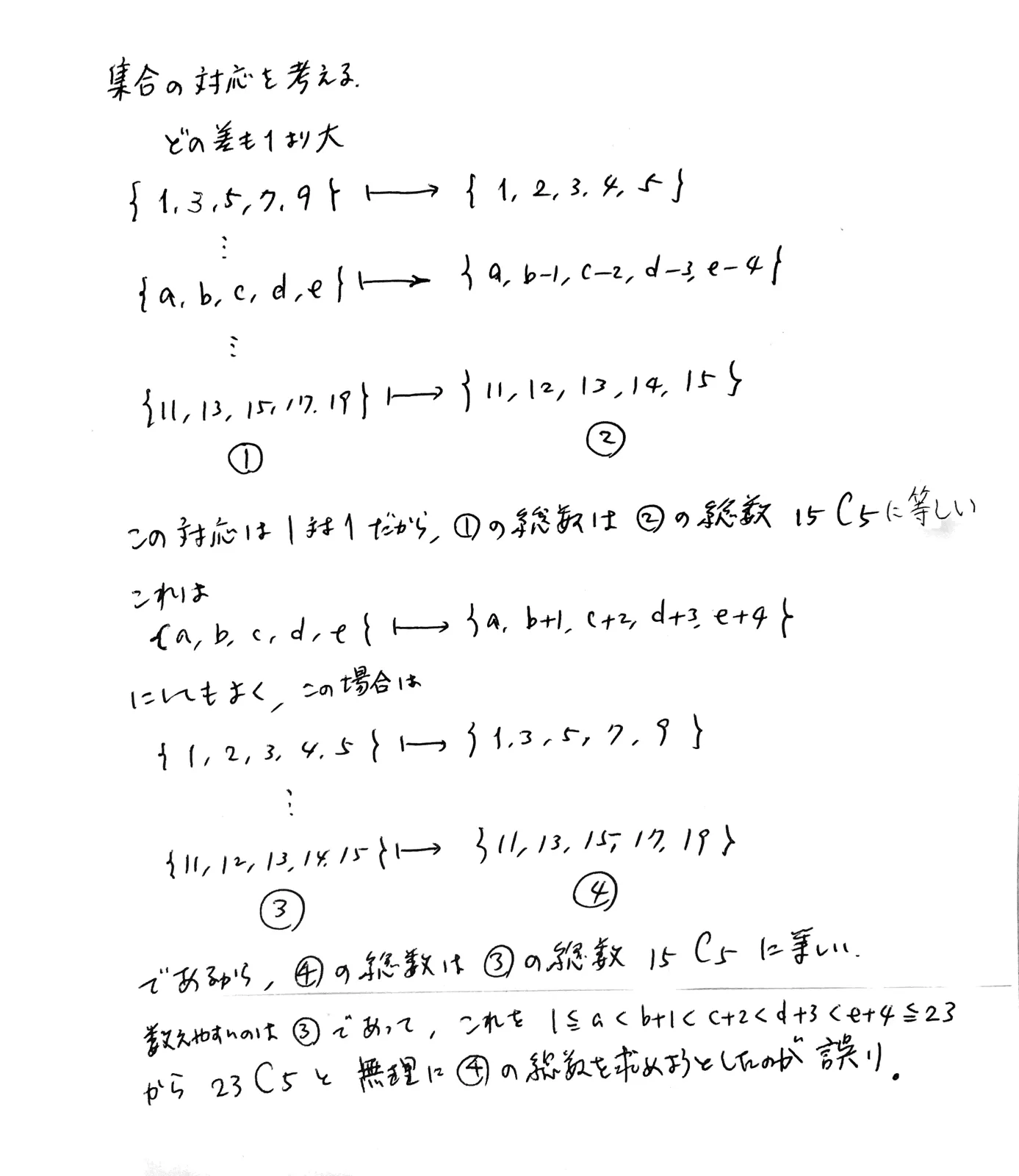
6 Aの各要素は整数だから, 「どの2つの要素の
差も1より大きい」 は 「どの2つの要素の差も2以上」
である. A の要素を小さい順に並べれば,隣り合う要素
の差は2以上.例題の(2)の “逆” をやって「差が2以
上」 を 「差が1以上」 (すなわち相異なる) にする.
解 A の要素を小さい順にa, b, c, d, e とすると,
1≦a<b<c<d<e≦19
条件 (ii) より
a+1<b, b+1<c, c+1<d, d+1<e
∴. a <b-1<c-2<d-3<e-4
ここで
B'=b-1, c' =c-2, d'=d-3, e' =e-4
とおくと,
1≦a<b'<c<d'<e'≦19-4=15
条件 (i)(i) を満たす A = {a,b,c,d,e}の個数
は☆を満たす整数 α, b', c', d', e'の組の個数に等しく,
それは1以上15以下の整数から相異なる5個の整数を
選ぶ選び方の総数に等しいので, 答えは
15C5=
-=3・7・13・11=3003 (個)
15・14・13・12・11
5.4.3.2
Ph+==\
実数解を
x² - L
20
2
X
คำตอบ
ข้อสงสัยของคุณเคลียร์แล้วหรือยัง?
เมื่อดูคำถามนี้แล้ว
ก็จะเจอคำถามเหล่านี้ด้วย😉
