คณิตศาสตร์
มัธยมปลาย
ใครทราบวิธีคิดข้อนี้บ้างงับ แงงงติดอยู่นานแล้วสมองไม่แล่นเลยน;—;
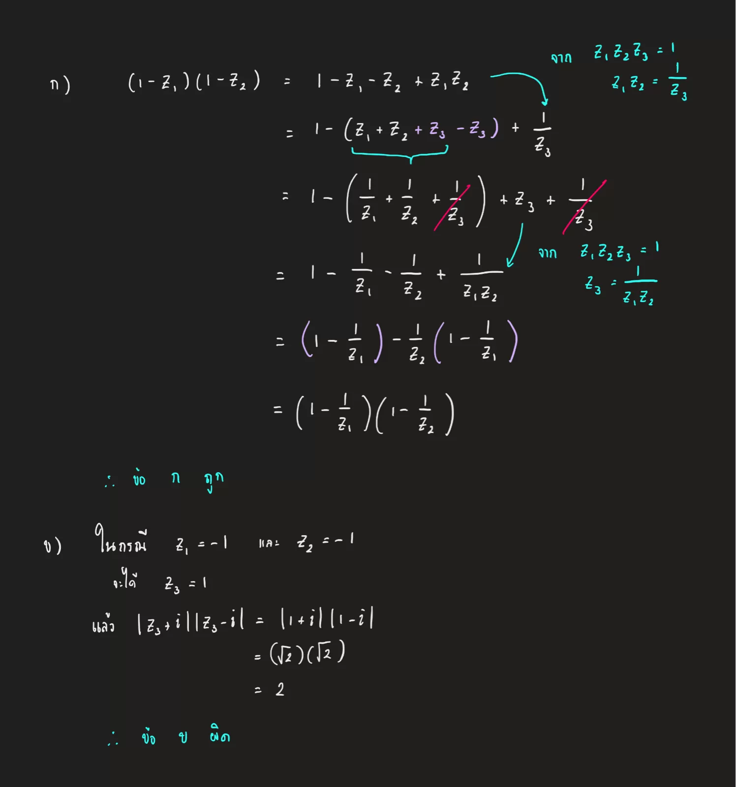
22. กำหนดให้ Z, Z, Z, เป็นจำนวนเชิงซ้อน ซึ่งสอดคล้อง Z,Z,Z, = 1
1
และ Z, + Z, +Z,
1
1
+ -+
พิจารณาข้อความต่อไปนี้
Z, Z, Z,
- ---)
ก. (1-2,)(1-2,2)
ข. ถ้า Z, #1 และ Z,#1 แล้ว 2, +iz, -=4
ข้อใดต่อไปนี้ถูก
1. ก. ถูก และ ข. ถูก
2. ก. ถูก และ ข. ผิด
3. ก. ผิด และข. ถูก
4. ก. ผิด และ ข. ผิด
คำตอบ
ข้อสงสัยของคุณเคลียร์แล้วหรือยัง?
เมื่อดูคำถามนี้แล้ว
ก็จะเจอคำถามเหล่านี้ด้วย😉
สมุดโน้ตแนะนำ
[PAT1] สรุปสูตรคณิตม.ปลาย
14392
24
สรุปคณิตม.5เทอม1
2451
3
[GAT/PAT] MATH NOTE I
2138
7
[ข้อสอบ] ความน่าจะเป็น ม.6
1768
2

