回答
回答
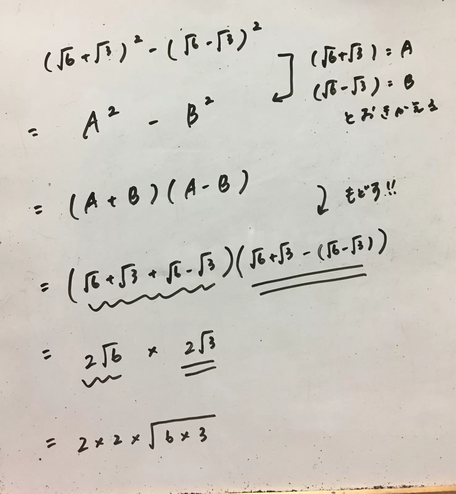
√6+√3をAとおく。√6-√3をBと置く。
A^2-B^2
ここで公式
a^2-b^2=(a+b)(a-b)
これに当てはめて、
A^2-B^2=(A+B)(A-B)
ここで、AとBを元の式に戻す。
(√6+√3+√6-√3){√6+√3-(√6-√3)
=2√6×2√3
=4√18
=12√2
ありがとうございました!
疑問は解決しましたか?
この質問を見ている人は
こちらの質問も見ています😉
おすすめノート
【数学】覚えておいて損はない!?差がつく裏ワザ
11388
87
【夏勉】数学中3受験生用
7340
105
【テ対】苦手克服!!証明のやり方♡
7047
61
【夏まとめ】数学 要点まとめ!(中1-中3途中まで)
6366
81


ありがとうございました!分かりやすかったです