Mathematics
大學
已解決
数B数列の問題です。(1)から(3)の問題の解き方を教えて下さい🙏🏻
●Complete
153
15分
154 15分
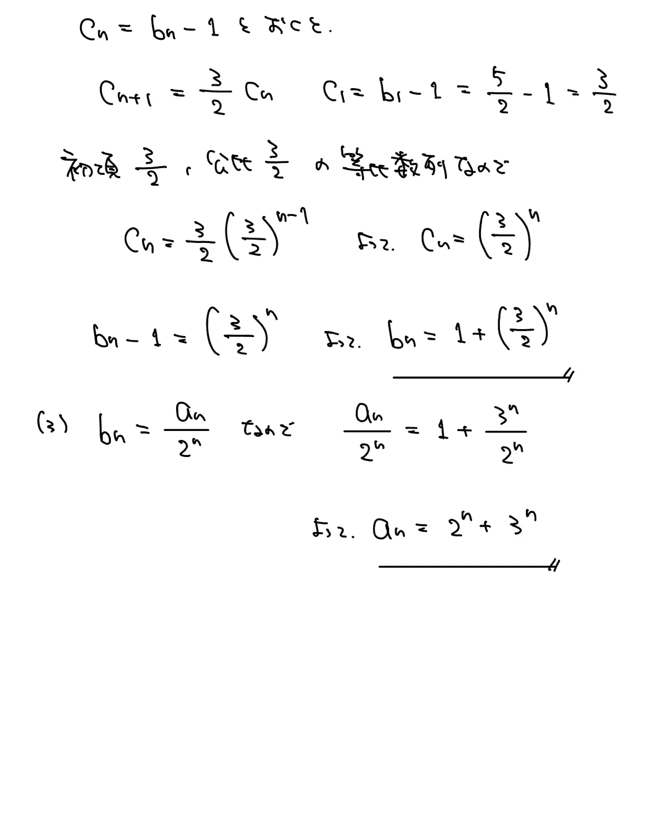
*153 α1=5, an+1=34-2" (n=1, 2, 3, ...) で定められた数列{a} につ
いて,次の問いに答えよ。
an
(1) bn= (n=1, 2, 3, …) とおくとき, b1, 62 の値を求めよ。
2n
(2) 数列 {6} の一般項を求めよ。
(3) 数列 {az} の一般項を求めよ。
[17 東北学院大]
解答
您的問題解決了嗎?
看了這個問題的人
也有瀏覽這些問題喔😉


解説がなく困っていたのですが、分かりやすくありがとうございます🙇🏻♀️