Chemistry
มัธยมปลาย

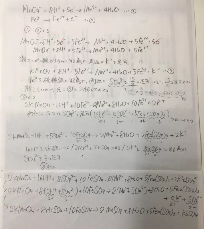
過マンガン酸カリウムと鉄2の反応式が書けません。
イオン反応式は⑵で解けましたが、化学反応式が書けません!ここらへんからどうしたらいいか教えてください!!

คำตอบ

調べたらclearにも知恵袋にも同じ質問がいっぱいあったので貼っときます。

https://detail.chiebukuro.yahoo.co.jp/qa/question_detail/q1277202697

もち

ありがとうございます

Shion*

これでわかんないとことかあったら私でよければお答えしますので返信してください( *˙ω˙*)و グッ!

もち

5fe3+と5so4 2マイナス??が反応するところがいまいち。。。
このノリだと、2H+があるときに、2H2SO4になるのでは??と思います

Shion*

サイト貼っといてなんですが、1から説明しました…笑 過マンガン酸カリウムはKMnO₄、硫酸鉄はFe₂(SO₄)₃のことです。
コツは「プラスとマイナスの数をひたすら気にし続けること」ですかね…。

もち

わざわざ。。ありがとうございます😭🙌🙌

แสดงความคิดเห็น
ข้อสงสัยของคุณเคลียร์แล้วหรือยัง?