Natural Science
มหาวิทยาลัย
請問這3題的詳解 拜託了
說87S JMK mol。 (B.) 259.2J/K mol (C.) 32.4J/K mol (D.) 64.81 J/K mol (E.) 129.6 JK Gi
6
(AD 9.0x10Patoms
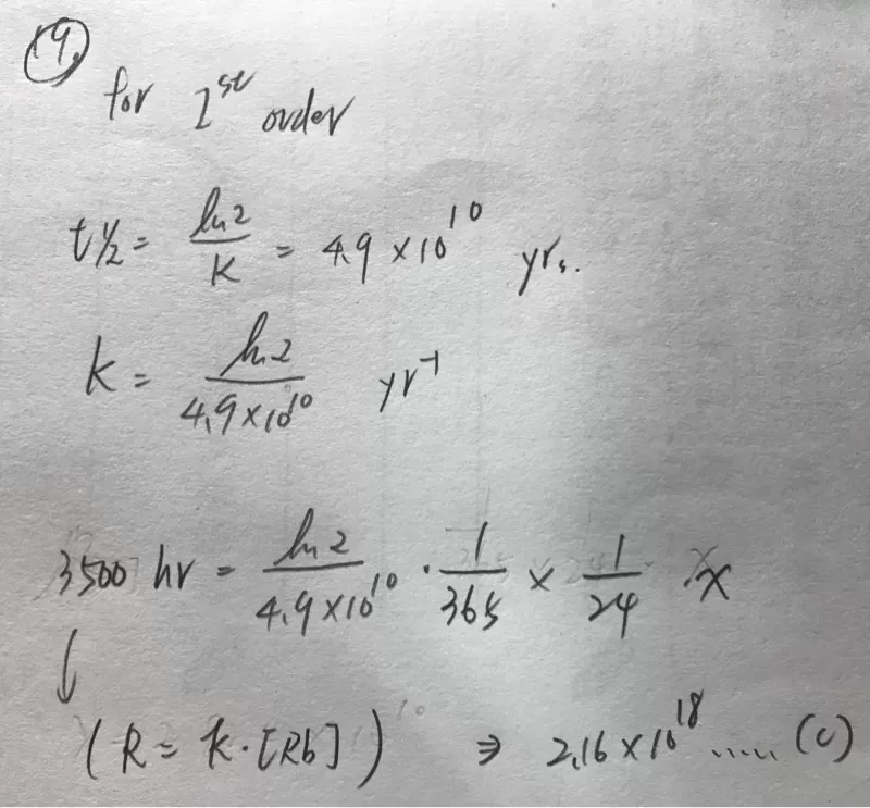
(B2) 4.3x10-4atoms
(c29 2.2x105atoms
(0D. 2.5x101atoms
(E) 2.6x10 atoms
AHr SOU/K.mol)
kJ/mol
-46.19 「192
22.30 1186.99
-3144 到6
人93x105 。(CD 8.4x10+ (D.) 1.1x10* (RE)72NIO
คำตอบ
ข้อสงสัยของคุณเคลียร์แล้วหรือยัง?
เมื่อดูคำถามนี้แล้ว
ก็จะเจอคำถามเหล่านี้ด้วย😉


