日本史
高校生
解決済み
(2)で質問なのですが、いつもどっちの式からどっちを引くかを悩んでしまいます。
何かいいアイデアがあれば教えて下さい🙏
人oo ミイ
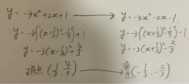
1 次の関数のダラフをヶ得方向に 1 ヶ軸方向に 1 だけ平各
移動したケラフの方程式を求めよ。 |
(G) =2z2 みッディァ*ー2ァ十3 1
(2) タニー3z2十2ヶ十1 ……①は, 7ニーニ374コ2cwkeそ*をど
のように平行移動すればえられるか.
回答
疑問は解決しましたか?
この質問を見ている人は
こちらの質問も見ています😉

矢印が逆でした⊂((・x・))⊃
反対です、