Mathematics
高校生
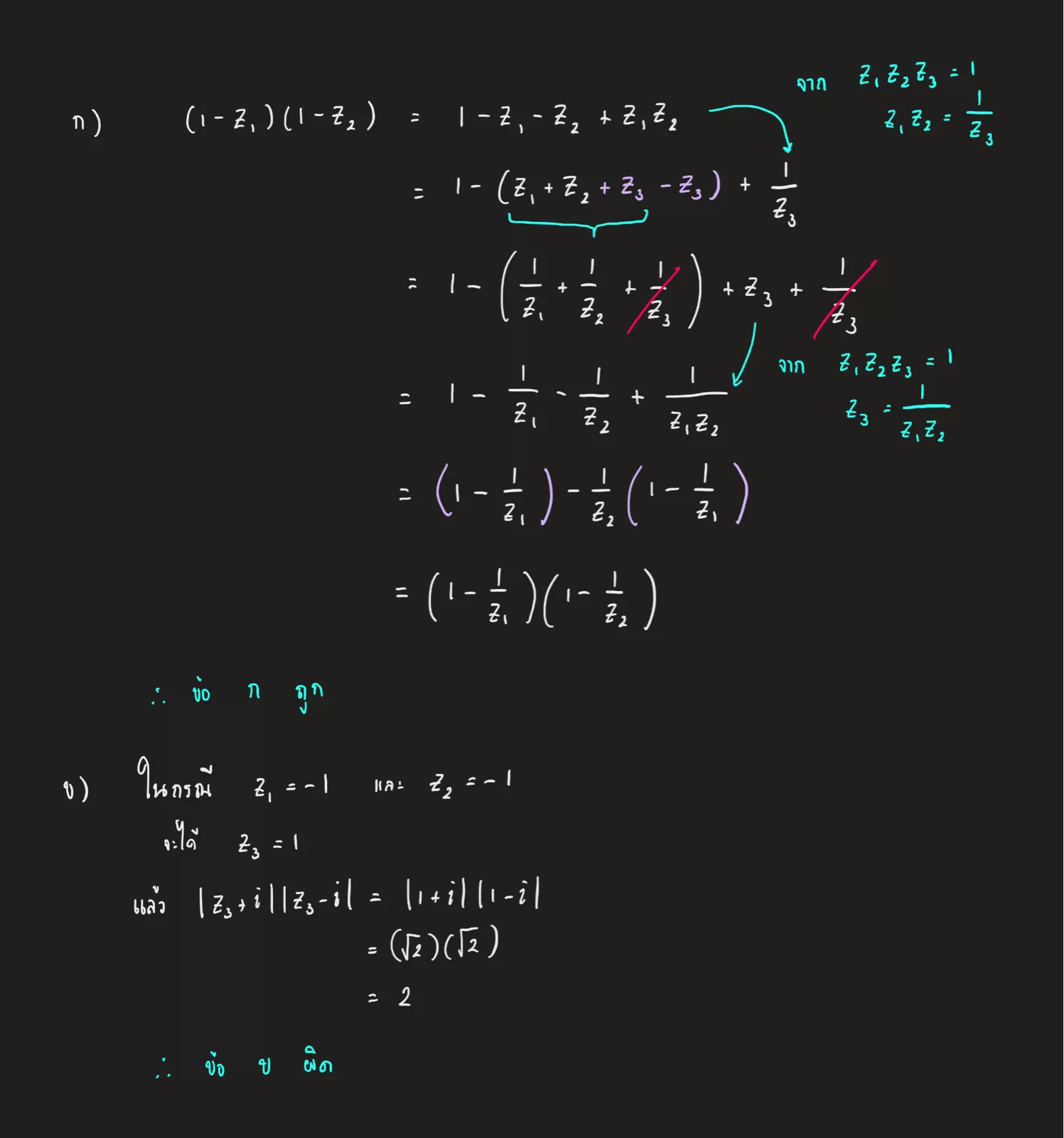
ใครทราบวิธีคิดข้อนี้บ้างงับ แงงงติดอยู่นานแล้วสมองไม่แล่นเลยน;—;
22. กำหนดให้ Z, Z, Z, เป็นจำนวนเชิงซ้อน ซึ่งสอดคล้อง Z,Z,Z, = 1
1
และ Z, + Z, +Z,
1
1
+ -+
พิจารณาข้อความต่อไปนี้
Z, Z, Z,
- ---)
ก. (1-2,)(1-2,2)
ข. ถ้า Z, #1 และ Z,#1 แล้ว 2, +iz, -=4
ข้อใดต่อไปนี้ถูก
1. ก. ถูก และ ข. ถูก
2. ก. ถูก และ ข. ผิด
3. ก. ผิด และข. ถูก
4. ก. ผิด และ ข. ผิด
回答
疑問は解決しましたか?
この質問を見ている人は
こちらの質問も見ています😉

