Mathematics & Statistics
มหาวิทยาลัย
เคลียร์แล้ว
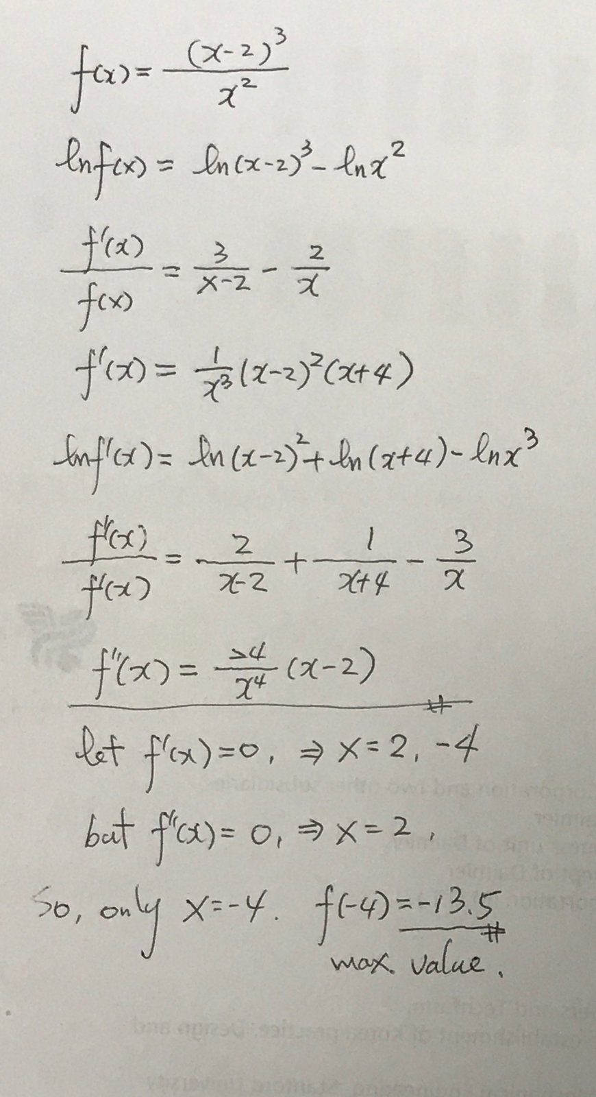
請問這題的過程怎麼計算~
題目是要求二次導函數及最大最小值
(照片黑色部分是題目 藍色部分是解答)
No.
Date
(37₁flx) =
(x-2)³
x²
fix)= 241X22)
74
(a-b) ² = a ²³-3a²b+3ab²-6³
svitalar
maximum at (-4, -13,5)
quitalay Test fails for x=2₁
คำตอบ
ข้อสงสัยของคุณเคลียร์แล้วหรือยัง?
เมื่อดูคำถามนี้แล้ว
ก็จะเจอคำถามเหล่านี้ด้วย😉
