Mathematics
SMA
Terselesaikan
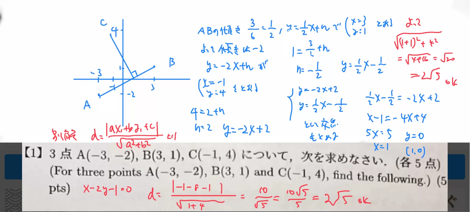
点Cから直線ABにおろした垂線の長さを求める問題です
答えは2√5であっていますか?
【1】 3点A(-3, -2), B(3, 1), C(-1, 4) について,次を求めなさい。 (各5点)
(For three points A(-3, -2), B(3, 1) and C(-1, 4), find the following.) (5
pts)
Answers
Apa kebingunganmu sudah terpecahkan?
Pengguna yang melihat pertanyaan ini
juga melihat pertanyaan-pertanyaan ini 😉

ありがとうございます😭