Mathematics
SMA
Terselesaikan
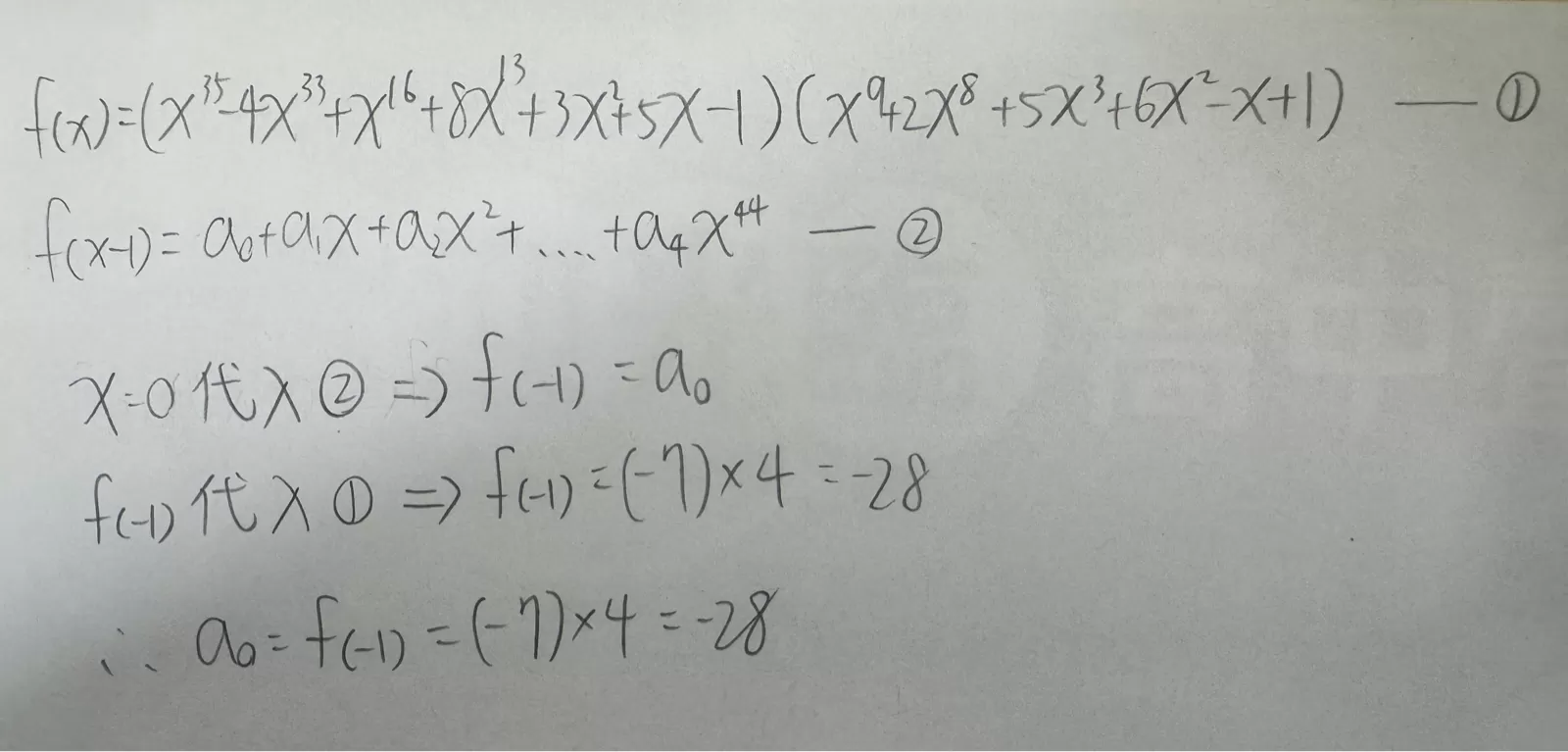
想問為何(1)老師的算式是
a0=f(-1)=(-7)×4=-28
高中數學(一)第3章多項式函數
3-1多項式的運算與應用 p4
Ans: 1. (1)(2)(3)
2. (1) 65 ; (2) 6 ; (3) 143 ; (4) — 137
3. (2)(3)(5)
4. (1) 5; (2) 20 ;
(3) 20
5. (1)−1; (2) 1
6. (1) 3 (2) 9; (3) 6
35
33
4. f(x)=(x³5 − 4x³3 + x16 + 8x1¹³ + 3x² + 5x − 1 )( x² + 2x³ + 5x³ + 6x² − x+1), ₺f(x−1)=
ao+a1x+a2x² + ··· + A44 x *
(1) a0=16
44
,
則下列選項哪些正確?
+
(2) ao
a1
+a2++ a44=-
-1
(4) a2+ a4 + a6 +
+a44=41
(3) a1a3+ a5 + ... + a43=26
(5) a1-a2+ a3 a4 + a5 a6 + · Q44=-15。
> A0 = 1 - (-7) 4 = -28
(4)
100=-(-7)
,
(3)所求=f(0)=-1
(0+2) Go
2
=
Ans : (2)(5)
21
F(x) = x² + bx+c
=
=
Answers
Answers
Apa kebingunganmu sudah terpecahkan?
Pengguna yang melihat pertanyaan ini
juga melihat pertanyaan-pertanyaan ini 😉
Recommended
[107學測]數學觀念總整理(上)
5235
40
[106學測]更新囉!!!一到四冊超強大數學
4023
44
[107學測]數學觀念總整理(下)
3738
18
高中數學1-4冊公式整理
2725
4

謝謝您!