Mathematics
SMA
Terselesaikan
想問這題的絕對值要怎麼拆開
詳解說x介在-2跟5之間 不太知道這句給的提示是什麼
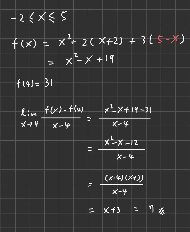
類題2 設 f(x)=x²+2|x+2+3|x-5,試求f'(4)=7。
出生
fix)-f14)
lim
x-4
x-4
x+2x+4-3x+15-(16+12+3)
X-4
⇒ &rm
X-X-12
=
X-4
X-4
lim (x-4)(x+3)
X-4
(x-4)
=
lim (x+3)=1
X-74
Answers
Apa kebingunganmu sudah terpecahkan?
Pengguna yang melihat pertanyaan ini
juga melihat pertanyaan-pertanyaan ini 😉
