Mathematics
SMA
Terselesaikan
回答がなくて教えてほしいです🙇♀️
10 [2025 福井大]
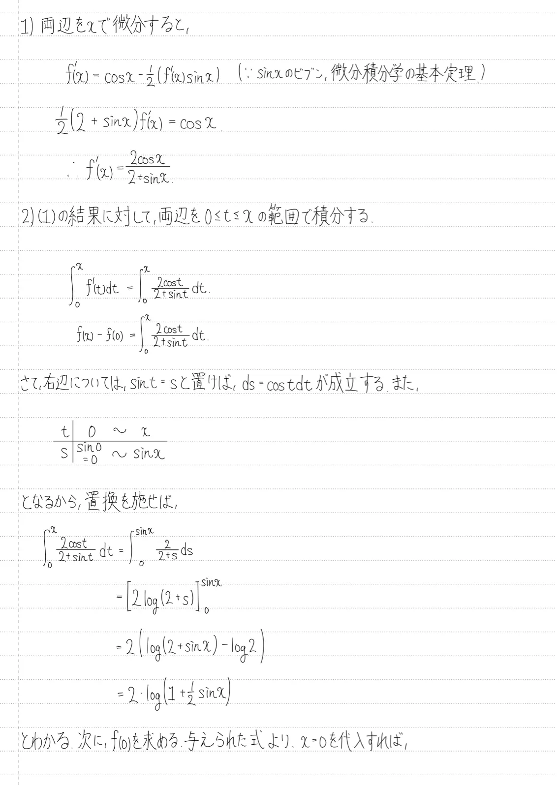
関数 y=f(x) が任意の実数x に対して次の等式を満たすとき, 次の問いに答えよ。 ただ
し, f(x) の導関数 f'(x) は連続関数とする。
1 x
f(x) =sinx-
So f'(t) sin tat
(1) 与えられた等式の両辺を微分して, f'(x) を求めよ。
(2) f(x) を求めよ。
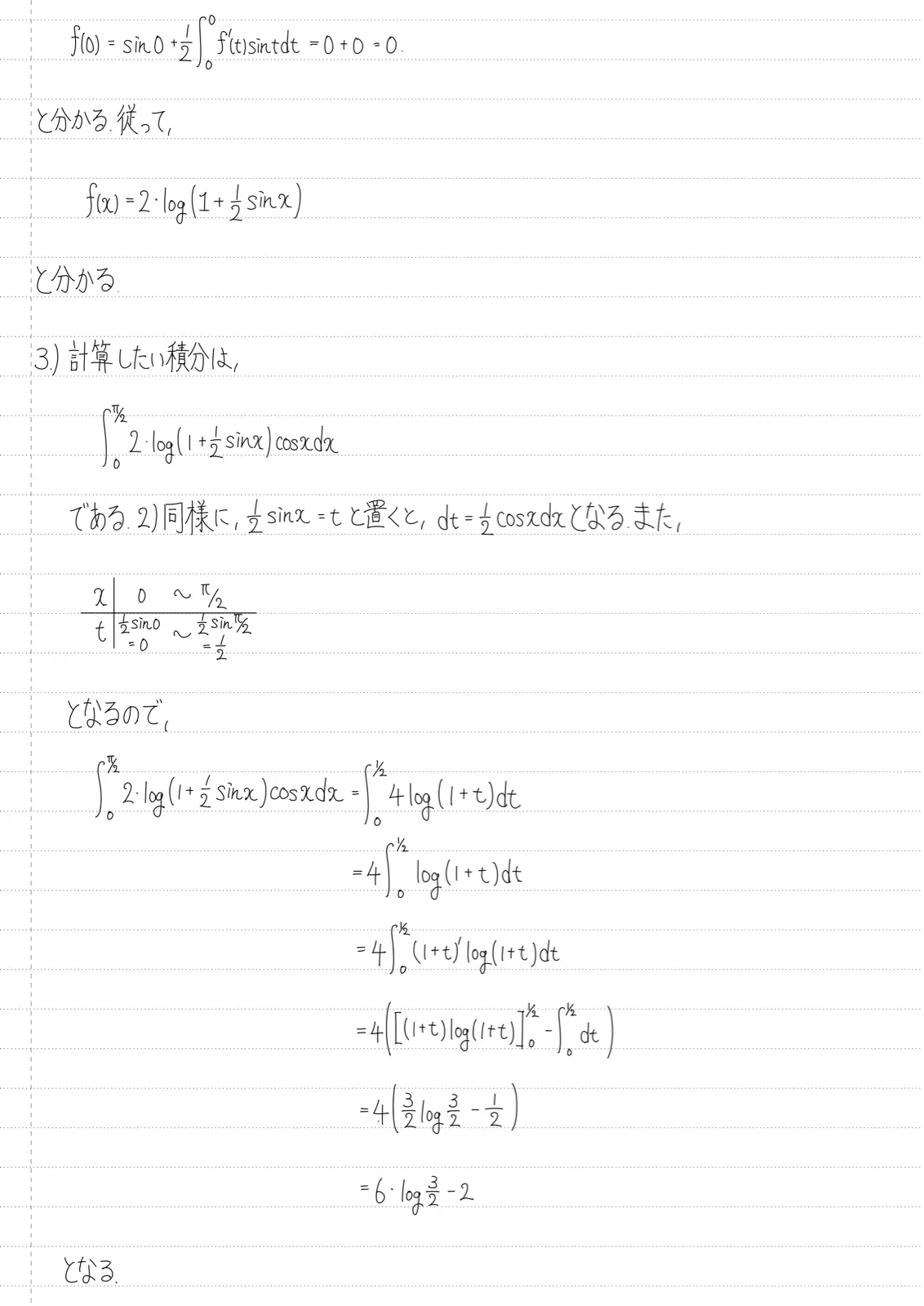
(3) S f(x) cosxdx の値を求めよ。
Answers
Answers
Apa kebingunganmu sudah terpecahkan?
Pengguna yang melihat pertanyaan ini
juga melihat pertanyaan-pertanyaan ini 😉
Recommended
詳説【数学A】第1章 個数の処理(集合・場合の数・順列組合)
6108
51
詳説【数学Ⅱ】第3章 三角関数(前半)~一般角の三角関数~
4908
18
詳説【数学B】漸化式と数学的帰納法
3210
13
詳説【数学B】いろいろな数列
3177
10


計算合わなくて困ってたので助かりました🙇♀️