Physics
SMA
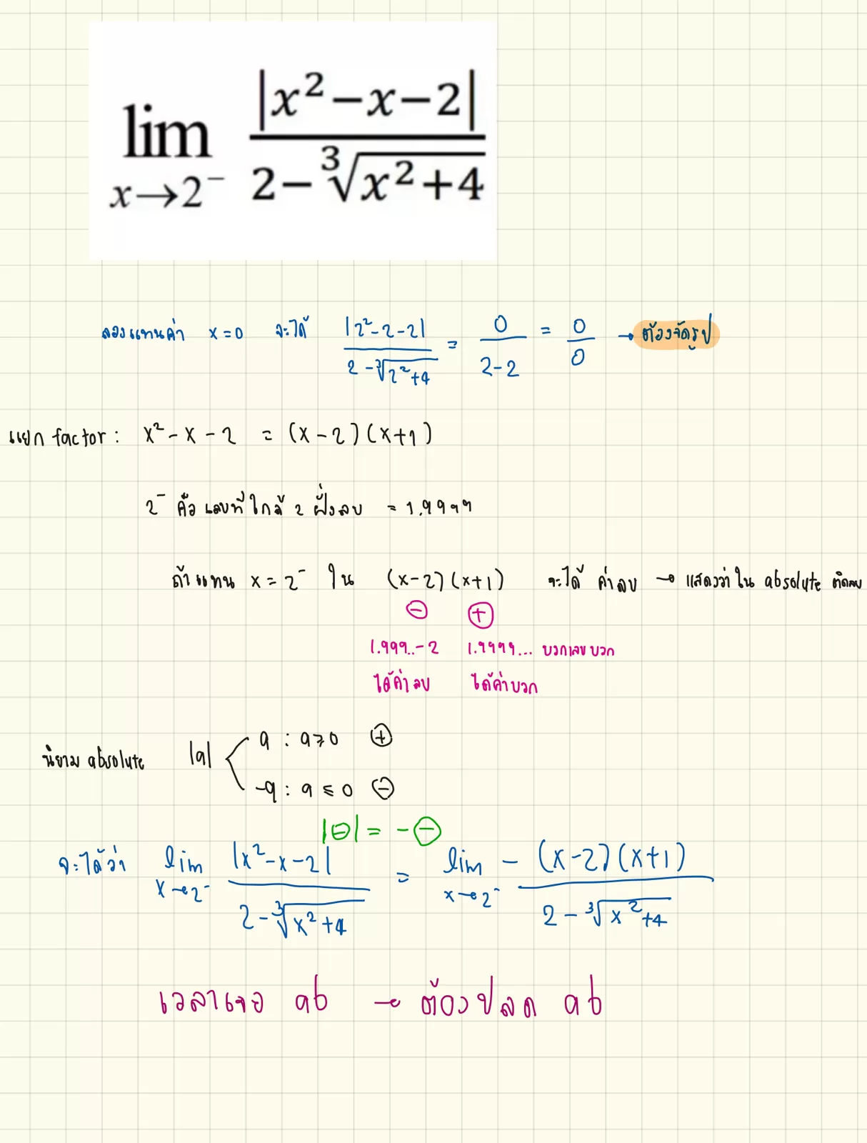
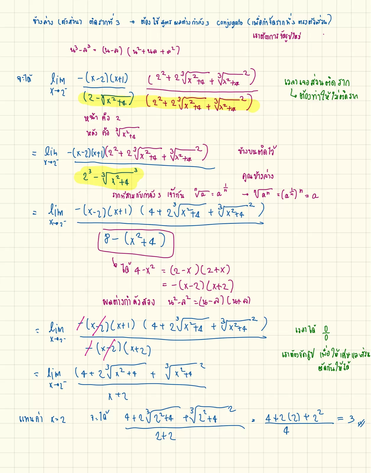
รบกวนหน่อยค่ะ มีใครช่วยอธิบายการหาลิมิตข้อนี้หน่อยได้ไหมคะ ขอบคุณมากค่ะ
|x²−x−2|
x-2-2-√x²+4
lim
Answers
Apa kebingunganmu sudah terpecahkan?
Pengguna yang melihat pertanyaan ini
juga melihat pertanyaan-pertanyaan ini 😉
Recommended
สรุปฟิสิกข์ ม.ปลาย
6940
12
☆สรุปฟิสิกส์☆ม.4
5618
9
[O-net]ดาราศาสตร์ม.ปลาย
4003
16
[SUM61] ฟิสิกส์ ม.4เทอม 1
3855
3


